CALCIUM LYSINATE
The European Food Safety Authority concluded that the use of calcium L-lysinate used in food supplements as a source of calcium is not of safety concern at the proposed use levels.
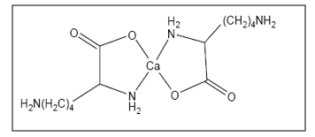
Calcium L-lysinate (synonym: L-Lysine, calcium salt), has the empirical formula (C6H13N2O2)2 Ca and as molecular mass: 330.44 Dalton11.

Calcium lysinate chelate consists of calcium bonded to two molecules of lysine. Calcium lysinate has the % absorption of 82% and therefore will provide the bioavailable calcium higher than the other calcium salts which is shown in the Fig. 7

Fig. 7 Bioavailability of different salts of calcium
Certain calcium supplements that are not chelated, or are improperly chelated, have been shown to interfere with the absorption of some other minerals, particularly with iron. Unlike these sources of calcium, calcium lysinate does not ionize in the gut, thus eliminating the potential to interfere with iron absorption.
L-lysine can both enhance intestinal Ca absorption and improve the renal conservation of the absorbed Ca.
The combined effects may contribute to a positive Ca balance, thus suggesting a potential usefulness of L-lysine supplements for both preventive and therapeutic interventions in osteoporosis
In Dr. Heaney, et al.’s study, Absorbability of Calcium Sources: Seven different forms of calcium were evaluated.8 The results of this study are summarized in Fig. 8

Fig.8: Absorbability of seven different forms of calcium.8
Albion’s patented calcium amino acid chelate was the highest in percent absorption.
Its bioavailability was even higher than the calcium in milk.
6.THE IDENTITY OF CURRENT CALCIUM BRANDS

Calcium lysinate eq. to elemental calcium 250 mg Vitamin D3 500 IU
Distinctly Different in Calcium Q


7.ADVANTAGES OF CALCIUM LYSINATE CHELATE
8.ADVANTAGES OF COMBINATION OF CALCIUM LYSINATE WITH VITAMIN D3
Is chelated form of calcium
With dual calcium absorption boosters
Has High Bioavailability
Is Retained in Tissues
Is Safe and well tolerated
9.INDICATIONS:
Osteopenia
Pregnancy and lactation
Postmenopausal Osteoporosis
Age- related Osteoporosis
Drug induced Osteoporosis
Secondary Osteoporosis